Каждый хочет жить в доме или квартире с красивым и неповторимым интерьером. Чтобы...
|
Каждый хочет жить в доме или квартире с красивым и неповторимым интерьером. Чтобы... |
В эпоху максимального развития дизайна и строительства многие мечтают о собственном... |
При возведении здания из кирпича или пеноблоков, обязательным технологическим моментом... |
При обустройстве водоснабжения и отопления загородных домов и дач одной из самых насущных проблем является подбор насоса. Ошибка в выборе насоса чревата неприятными последствиями, среди которых перерасход электроэнергии – самое простое, а выход из строя погружного насоса – самое распространенное. Самыми главными характеристиками, по которым необходимо выбирать любой насос, являются расход воды или производительность насоса, а также напор насоса или высота, на которую насос может подавать воду. Насос – не то оборудование, которое можно брать с запасом – «на вырост». Все должно быть выверено строго согласно потребностям. У тех, кто поленился произвести соответствующие расчеты и выбрал насос «на глазок», практически всегда бывают проблемы в виде отказов. В данной статье мы подробно остановимся на том, как определить напор насоса и производительность, предоставим все необходимые формулы и табличные данные. Также уточним тонкости расчетов циркуляционных насосов и характеристик центробежных насосов.
Погружные насосы обычно устанавливаются в глубокие скважины и колодцы, там, где самовсасывающий поверхностный насос не справится. Такой насос характерен тем, что работает полностью погруженным в воду, а если уровень воды опускается до критической отметки, то отключается и не включится, пока уровень воды не поднимется. Работа погружного насоса без воды «всухую» чревата поломками, поэтому необходимо подобрать насос с такой производительностью, чтобы она не превышала дебет скважины.
Производительность насоса не зря иногда называют расходом, так как расчеты данного параметра напрямую связаны с расходом воды в водопроводе. Чтобы насос был способен обеспечивать потребности жильцов в воде, его производительность должна быть равна или быть чуть больше расхода воды из одновременно включенных потребителей в доме.
Этот суммарный расход можно определить, сложив расходы всех потребителей воды в доме. Чтобы не утруждать себя лишними расчетами, можете воспользоваться таблицей примерных значений расходов воды в секунду. В таблице указаны всевозможные потребители, такие как умывальник, унитаз, раковина, стиральная машина и другие, а также расход воды в л/с через них.
Таблица 1. Расход потребителей воды.
После того как просуммировали расходы всех требуемых потребителей, необходимо найти расчетный расход системы, он будет несколько меньше, так как вероятность одновременного использования абсолютно всех сантехприборов крайне мала. Узнать расчетный расход можно из таблицы 2. Хотя иногда для упрощения расчетов полученный суммарный расход просто умножают на коэффициент 0,6 – 0,8, принимая, что одновременно будет использоваться только 60 – 80 % сантехприборов. Но данный способ не совсем удачен. Например, в большом особняке с множеством сантехприборов и потребителей воды могут проживать всего 2 – 3 человека, и расход воды будет намного меньше суммарного. Поэтому настоятельно рекомендуем воспользоваться таблицей.
Таблица 2. Расчетный расход системы водоснабжения.
Полученный результат будет реальным расходом системы водоснабжения дома, который должен покрываться производительностью насоса. Но так как в характеристиках насоса производительность обычно считается не в л/с, а в м3/ч, то полученное нами значение расхода необходимо умножить на коэффициент 3,6.
Пример расчета расхода погружного насоса:
Рассмотрим вариант водоснабжения дачного домика, в котором есть такие сантехприборы:
Суммируем расход всех потребителей: 0,09+0,1+0,15+0,09+0,1=0,53 л/с.
Так как домик у нас с садовым участком и огородом, не помешает добавить сюда поливочный кран, расход которого 0,3 м/с. Итого, 0,53+0,3=0,83 л/с.
Находим по таблице 2 значение расчетного расхода: значению 0,83 л/с соответствует 0,48 л/с.
И последнее – переводим л/с в м3/ч, для этого 0,48*3,6=1,728 м3/ч.
Важно! Иногда производительность насоса указывается в л/ч, тогда полученное значение в л/с необходимо умножить на 3600. Например, 0,48*3600=1728 л/час.
Вывод: расход системы водоснабжения нашего дачного домика составляет 1,728 м3/ч, поэтому производительность насоса должна быть больше 1,7 м3/ч. Например, подойдут такие насосы 32 ВОДОЛЕЙ НВП-0,32-32У (1,8 м3/ч), 63 ВОДОЛЕЙ НВП-0,32-63У (1,8 м3/ч), 25 SPRUT 90QJD 109-0.37 (2 м3/ч), 80 AQUATICA 96 (80 м) (2 м3/ч), 45 PEDROLLO 4SR 2m/7 (2 м3/ч) и др. Чтобы более точно определить подходящую модель насоса, необходимо рассчитать требуемый напор.
Напор насоса или высота подъема воды рассчитывается по формуле, представленной ниже. Учитывается, что насос полностью погружен в воду, поэтому такие параметры, как перепад высот между источником воды и насосом, не учитываются.
Расчет напора скважинного насоса
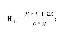
Формула для расчета напора скважинного насоса:

Где,
Hтр – значение требуемого напора скважинного насоса;
Hгео – перепад высот между местом нахождения насоса и наивысшей точкой системы водоснабжения;
Hпотерь – сумма всех потерь в трубопроводе. Данные потери связаны с трением воды о материал труб, а также падением давления на поворотах труб и в тройниках. Определяется по таблице потерь.
Hсвоб – свободный напор на излив. Чтобы можно было комфортно пользоваться сантехприборами, данное значение необходимо брать 15 – 20 м, минимально допустимое значение 5 м, но тогда вода будет подаваться тонкой струечкой.
Все параметры измеряются в тех же единицах, в чем измеряется напор насоса, - в метрах.
Расчет потерь в трубопроводе можно рассчитать, изучив таблицу ниже. Обратите внимание, в таблице потерь обычным шрифтом указана скорость, с которой вода протекает по трубопроводу соответствующего диаметра, а выделенным шрифтом – потери напора на каждые 100 м прямого горизонтального трубопровода. В самом низу таблиц указаны потери в тройниках, угловых соединениях, обратных клапанах и задвижках. Естественно, для точного расчета потерь необходимо знать протяженность всех участков трубопровода, количество всех тройников, поворотов и клапанов.
Таблица 3. Потери напора в трубопроводе из полимерных материалов.
Таблица 4. Потери напора в трубопроводе из стальных труб.
Пример расчета напора скважинного насоса:
Рассмотрим такой вариант водоснабжения дачного дома:
В первую очередь считаем Hгео = динамический уровень + высота второго этажа = 15 + 5 = 20 м.
Далее считаем Hпотерь. Примем, что горизонтальный трубопровод у нас выполнен полипропиленовой трубой 32 мм до дома, а в доме трубой 25 мм. Наличествует один угловой поворот, 3 обратных клапана, 2 тройника и 1 запорная арматура. Производительность возьмем из предыдущего расчета расхода 1,728 м3/час. Согласно предложенным таблицам ближайшее значение равно 1,8 м3/час, поэтому округлим до этого значения.
Hпотерь = 4,6*30/100 + 13*5/100 + 1,2 + 3*5,0 + 2*5,0 + 1,2 = 1,38+0,65+1,2+15+10+1,2=29,43 м ≈ 30 м.
Hсвоб примем 20 м.
Итого, требуемый напор насоса равен:
Hтр = 20 + 30 + 20 = 70 м.
Вывод: учитывая все потери в трубопроводе, нам необходим насос, напор которого равен 70 м. Также из предыдущего расчета мы определили, что его производительность должна быть выше 1,728 м3/час. Нам подходят такие насосы:
Более конкретный выбор насоса уже зависит от финансовых возможностей хозяина дачи.
Наличие гидроаккумулятора делает работу насоса более стабильной и надежной. К тому же, это позволяет насосу реже включаться для подкачки воды. И еще один плюс гидроаккумулятора – он защищает систему от гидравлических ударов, которые неизбежны, если насос мощный.
Объем мембранного бака (гидроаккумулятора) рассчитывается по такой формуле:

Где,
V – объем бака в л.
Q – номинальный расход/производительность насоса (или максимальная производительность минус 40%).
ΔP – разница между показателями давления включения и отключения насоса. Давление включения равно – максимальное давление минус 10%. Давление выключения равно – минимальное давление плюс 10%.
Pвкл – давление включения.
nmax – максимальное количество включений насоса в час, обычно равно 100.
k – коэффициент, равный 0,9.
Для произведения этих расчетов необходимо знать давление в системе – давление включения насоса. Гидроаккумулятор – незаменимая вещь, именно поэтому все насосные станции оснащены им. Стандартные объемы накопительных баков равны 30 л, 50 л, 60 л, 80 л, 100 л, 150 л, 200 л и более.
Самовсасывающие поверхностные насосы используются для подачи воды из неглубоких колодцев и скважин, а также открытых источников и баков запаса воды. Они устанавливаются непосредственно в доме или техническом помещении, а в колодец или другой источник воды опускается труба, по которой вода подкачивается до насоса. Обычно высота всасывания таких насосов не превышает 8 – 9 м, зато подавать воду на высоту, т.е. напор может быть 40 м, 60 м и более. Существует также возможность откачивать воду с глубины 20 – 30 м с помощью эжектора, который опускается в источник воды. Но чем больше глубина и удаление источника воды от насоса, тем больше падает производительность насоса.
Производительность самовсасывающего насоса считается точно так же, как и для погружного насоса, поэтому мы не будем еще раз заострять на этом внимание и сразу перейдем к напору.
Расчет напора насоса, расположенного ниже источника воды. Например, бак запаса воды находится на чердаке дома, а насос на первом этаже или в цоколе.

Где,
Нтр – требуемый напор насоса;
Нгео – перепад высот между местом расположения насоса и самой высокой точкой системы водоснабжения;
Нпотерь – потери в трубопроводе, связанные с трением. Рассчитываются точно так же, как и для скважинного насоса, только не учитывается вертикальный участок от бака, который расположен выше насоса, до самого насоса.
Нсвоб – свободный напор из сантехприборов, также необходимо брать 15 – 20 м.
Нвысота бака – высота между баком запаса воды и насосом.
Расчет напора насоса, расположенного выше источника воды – колодца или водоема, емкости.

В данной формуле абсолютно те же значения, что и в предыдущей, только
Нвысота источника – перепад высот между источником воды (колодцем, озером, копанкой, баком, бочкой, траншеей) и насосом.
Пример расчета напора самовсасывающего поверхностного насоса.
Рассмотрим такой вариант водоснабжения загородного дома:
Считаем Нгео – высота 5 м (от насоса до сантехприборов на втором этаже).
Нпотерь – примем, что наружный трубопровод выполнен трубой 32 мм, а внутренний – 25 мм. В системе есть 3 обратных клапана, 3 тройника, 2 запорных арматуры, 2 поворота трубы. Производительность насоса, который нам необходим, должна быть 3 м3/ч.
Нпотерь = 4,8*20/100 + 11*5/100 + 3*5 + 3*5 + 2*1,2 + 2*1,2 = 0,96+0,55+15+15+2,4+2,4=36,31≈37 м.
Нсвоб = 20 м.
Нвысота источника = 6 м.
Итого, Нтр = 5 + 37 + 20 + 6 = 68 м.
Вывод: необходим насос с напором 70 м и больше. Как показал подбор насоса с такой подачей воды, практически нет моделей поверхностных насосов, которые бы удовлетворяли требованиям. Имеет смысл рассмотреть вариант установки погружного насоса.
Циркуляционные насосы используются в системах отопления дома для обеспечения принудительной циркуляции теплоносителя в системе. Такой насос также подбирается, исходя из требуемой производительности и напора насоса. График зависимости напора от производительности насоса является основной его характеристикой. Так как существуют одно-, двух- , трехскоростные насосы, то и характеристик у них соответственно – одна, две, три. Если насос имеет плавно изменяющуюся частоту вращения ротора, то таких характеристик множество.
Расчет циркуляционного насоса – ответственная задача, лучше ее доверить тем, кто будет выполнять проект отопительной системы, так как для расчетов необходимо знать точные теплопотери дома. Подбор циркуляционного насоса выполняется с учетом объема теплоносителя, который он должен будет перекачивать.
Для выполнения расчетов производительности циркуляционного насоса отопительного контура необходимо знать такие параметры:
Если нам известна и отапливаемая площадь, и мощность источника тепла, то можно сразу переходить к расчету производительности насоса.

Где,
Qн – подача/производительность насоса, м3/час.
Qнеобх – тепловая мощность источника тепла.
1,16 – удельная теплоемкость воды, Вт*час/кг*°К.
Удельная теплоемкость воды - 4,196 кДж/(кг °К). Перевод Джоулей в Ватты
1 кВт/час = 865 ккал = 3600 кДж;
1 ккал=4,187 кДж. Итого 4,196 кДж = 0,001165 кВт = 1,16 Вт.
tг – температура теплоносителя на выходе из источника тепла, °С.
tх – температура теплоносителя на входе в источник тепла (обратка), °С.
Данная разница температур Δt = tг – tх зависит от типа отопительной системы.
Δt= 20 °С – для стандартных отопительных систем;
Δt = 10 °С – для отопительных систем низкотемпературного плана;
Δt = 5 – 8 °С – для системы «теплый пол».
Пример расчета производительности циркуляционного насоса.
Рассмотрим такой вариант системы отопления дома: дом площадью 200 м2, система отопления двухтрубная, выполнена трубой 32 мм, протяженность 50 м. Температура теплоносителя в контуре имеет такой цикл 90/70 °С. Теплопотери дома составляют 24 кВт.


Вывод: для системы отопления с данными параметрами необходим насос, обладающий подачей/производительностью более 2,8 м3/час.
Важно знать, что напор циркуляционного насоса зависит не от высоты здания, как было описано в примерах расчета погружного и поверхностного насоса для водоснабжения, а от гидравлического сопротивления в системе отопления.
Поэтому перед тем как посчитать напор насоса, необходимо определить сопротивление системы.

Где,
Нтр – требуемый напор циркуляционного насоса, м.
R – потери в прямом трубопроводе по причине трения, Па/м.
L – общая длина всего трубопровода отопительной системы для самого дальнего элемента, м.
ρ – плотность перетекаемой среды, если это вода, то плотность равна 1000 кг/м3.
g – ускорение свободного падения, 9,8 м/с2.
Z – коэффициенты запаса для дополнительных элементов трубопровода:
Как было установлено вследствие опытов, сопротивление в прямом трубопроводе примерно равно R=100 – 150 Па/м. Это соответствует напору насоса примерно 1 – 1,5 см на метр.
Определяется ветка трубопровода – самая неблагоприятная, между источником тепла и самой удаленной точкой системы. Необходимо сложить длину, ширину и высоту ветки и умножить на два.
L = 2*(a+b+h)
Пример расчета напора циркуляционного насоса. Данные возьмем из примера расчета производительности.
В первую очередь рассчитываем ветку трубопровода
L = 2*(50+5) = 110 м.
Нтр = (0,015 * 110 + 20*1,3 + 1,7*20)1000*9,8 = (1,65+26+34)9800=0,063= 6 м.
Если фитингов и других элементов будет меньше, то напор потребуется меньший. Например, Нтр = (0,015*110+5*1,3+5*1,7)9800=(1,65+6,5+8,5)/9800=0,017=1,7 м.
Вывод: для данной системы отопления необходим циркуляционный насос с производительностью 2,8 м3/час и напором 6 м (зависит от количества арматуры).
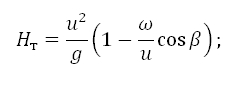
Производительность/подача и напор центробежного насоса зависят от количества оборотов рабочего колеса.
Например, теоретический напор центробежного насоса будет равен разности напоров на входе в рабочее колесо и на выходе из него. Жидкость, поступающая в рабочее колесо центробежного насоса, движется в радиальном направлении. Это означает, что угол между абсолютной скоростью на входе в колесо и окружной скоростью равен 90 °.

Где,
Нт – теоретический напор центробежного насоса.
u – окружная скорость.
c – скорость движения жидкости.
α – угол, о котором шла речь выше, угол между скоростью на входе в колесо и окружной скоростью, равен 90 °.

Где,
β=180°-α.
т.е. значение напора насоса пропорционально квадрату числа оборотов в рабочем колесе, т.к.
u=π*D*n.
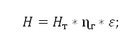
Действительный напор центробежного насоса будет меньше теоретического, так как часть энергии жидкости будет расходоваться на преодоление сопротивления гидравлической системы внутри насоса.
Поэтому определение напора насоса производится по следующей формуле:

Где,
ɳг – гидравлический КПД насоса (ɳг=0,8- 0,95).
ε – коэффициент, который учитывает количество лопаток в насосе (ε=0,6-0,8).
Расчет напора центробежного насоса, требуемого для обеспечения водоснабжения в доме, рассчитывается по тем же формулам, что были приведены выше. Для погружного центробежного насоса по формулам для погружного скважинного насоса, а для поверхностного центробежного насоса – по формулам для поверхностного насоса.
Определить требуемый напор и производительность насоса для дачи или загородного дома не составит труда, если подойти к вопросу с терпением и правильным отношением. Правильно подобранный насос обеспечит долговечность скважины, стабильную работу систему водоснабжения и отсутствие гидроударов, который являются главной проблемой выбора насоса «с большим запасом на глаз». Как результат – постоянные гидроудары, оглушительный шум в трубах и преждевременный износ арматуры. Так что не стоит лениться, просчитайте все заранее.
Расчеты не верные !!! Содрано
Расчеты не верные !!!
Содрано откуда то, без осознания сути.
Пересчитай всЁ!
ДА, все расчеты через одно
ДА, все расчеты через одно место сделаны.
таблицы не соответствуют
таблицы не соответствуют расчетам
Все настолько заумно, по
Все настолько заумно, по простому нельзя что ли? Мы же помочь просим а не голову нам кружить типа без вас мы ничто.